Magna Concursos
1851624 Ano: 2008
Disciplina: Matemática
Banca: CESPE / CEBRASPE
Orgão: SGA-AC
Provas:

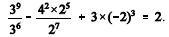
Julgue os itens seguintes, relacionados a operações com números reais.

Enunciado 3376775-1

 

Provas

Questão presente nas seguintes provas

Motorista

120 Questões