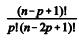
De acordo com o primeiro lema de Kaplansky, a
quantidade de subconjuntos de {1, 2, 3,..., n} com p elementos,
em que não há números consecutivos, é dada pela fórmula abaixo.

Uma das aplicações desse lema é a contagem do número de
maneiras de se sentar 4 meninas e 6 meninos em uma fila de 10
cadeiras, de modo que 2 meninas não fiquem em posições
adjacentes. A estratégia para se realizar essa contagem compreende
quatro passos. Em primeiro lugar, deve-se contar o número de
maneiras de se escolher 4 cadeiras sem que haja cadeiras
consecutivas; esse procedimento deve ser feito utilizando-se o lema
de Kaplansky. Em seguida, deve-se contar o número de maneiras de
organizar as meninas nessas cadeiras. O próximo passo consiste em
contar o número de maneiras de se distribuir os meninos nas
cadeiras restantes. Por fim, deve-se usar o princípio multiplicativo.
Com base nessas informações, julgue os itens subsecutivos.
Diante dos dados acima, é correto afirmar que o número de maneiras de se sentar 4 meninas e 6 meninos em uma fila de 10 cadeiras, de modo que não fiquem 2 meninas em posições adjacentes, é superior a 600.000.quantidade de subconjuntos de {1, 2, 3,..., n} com p elementos,
em que não há números consecutivos, é dada pela fórmula abaixo.

Uma das aplicações desse lema é a contagem do número de
maneiras de se sentar 4 meninas e 6 meninos em uma fila de 10
cadeiras, de modo que 2 meninas não fiquem em posições
adjacentes. A estratégia para se realizar essa contagem compreende
quatro passos. Em primeiro lugar, deve-se contar o número de
maneiras de se escolher 4 cadeiras sem que haja cadeiras
consecutivas; esse procedimento deve ser feito utilizando-se o lema
de Kaplansky. Em seguida, deve-se contar o número de maneiras de
organizar as meninas nessas cadeiras. O próximo passo consiste em
contar o número de maneiras de se distribuir os meninos nas
cadeiras restantes. Por fim, deve-se usar o princípio multiplicativo.
Com base nessas informações, julgue os itens subsecutivos.
Provas
Questão presente nas seguintes provas
Técnico Judiciário - Operação de Computadores
120 Questões
Técnico Judiciário - Programação de Sistemas
120 Questões