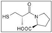
O Captopril (representado na figura a seguir) é indicado para o tratamento de pacientes com hipertensão arterial, insuficiência cardíaca, infarto do miocárdio e nefropatia diabética. No controle de qualidade físico-químico de comprimidos contendo captopril 25 mg associado a excipientes em quantidade suficiente para 100 mg, utilizando-se blísteres como embalagem primária, obteve-se os resultados apresentados na seguinte tabela. De acordo com esses resultados, assinale a alternativa INCORRETA.

| Parâmetro | Valor encontrado |
| Peso Médio | 101, 2 mg |
| Friabilidade | 5% |
| Dureza | 62 N |
| Tempo de desintegração | 29 s |
| Quantidade de captopril dissolvido | 99,8% |
| Vazamento | 100% |