Magna Concursos
1235200 Ano: 2015
Disciplina: Matemática
Banca: UEM
Orgão: UEM

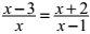
Se x satisfaz a equação enunciado 1235200-1 , então o valor de x é igual a

 

Provas

Questão presente nas seguintes provas

Auxiliar Operacional

40 Questões

Auxiliar Operacional - Agropecuária

40 Questões