
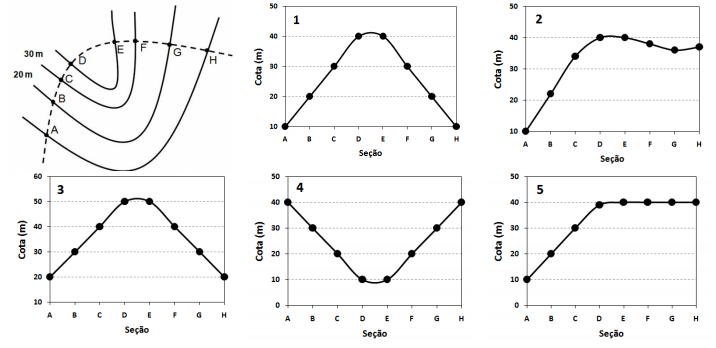
Na figura, são mostradas curvas de nível de um terreno hipotético com equidistância de 10 m. O perfil correspondente à seção A-B-C-D-E-F-G-H indicada nessa figura é o

Na figura, são mostradas curvas de nível de um terreno hipotético com equidistância de 10 m. O perfil correspondente à seção A-B-C-D-E-F-G-H indicada nessa figura é o