Magna Concursos
1889526 Ano: 2014
Disciplina: TI - Desenvolvimento de Sistemas
Banca: FUNDEP
Orgão: IFN-MG

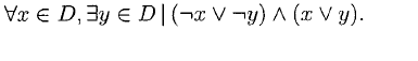
É CORRETO afirmar que a negação da afirmação

Enunciado 1889526-1

é

 

Provas

Questão presente nas seguintes provas