Magna Concursos
848844 Ano: 2014
Disciplina: Matemática
Banca: CESGRANRIO
Orgão: EPE
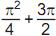
Seja f: R enunciado 848844-1 R uma função duas vezes diferenciável tal que:

I – f "(x) = 2 · cos(x) - x · sen(x) + 2;
II – a reta tangente ao gráfico da função f no ponto (0,2) tem equação y = 3x + 2.

Qual o valor de f enunciado 848844-2 ?
 

Provas

Questão presente nas seguintes provas

Analista da EPE - Gás e Bioenergia

60 Questões