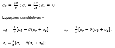
Um tanque cilíndrico, com tampas, tem raio externo R e espessura de parede t, como apresentado na figura abaixo. Quando o tanque é pressurizado, um extensômetro, montado na parede externa numa direção paralela ao eixo z do tanque, mede a deformação longitudinal εz . Assim, a pressão no interior do tanque ρ pode ser monitorada pela deformação medida através do extensômetro.
Determine a expressão da pressão máxima de operação a partir da deformação longitudinal εz


sendo E módulo de elasticidade;
coeficiente de Poisson; ρ é a pressão.
Provas
Questão presente nas seguintes provas
Analista de Saneamento - Engenheiro Mecânico
50 Questões