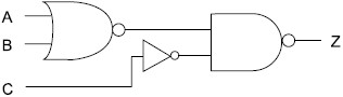
Analise o circuito digital a seguir, composto por três portas lógicas.

Assinale a alternativa que apresenta uma combinação de valores para as entradas A, B e C que produza a saída Z igual a 0.
Analise o circuito digital a seguir, composto por três portas lógicas.

Assinale a alternativa que apresenta uma combinação de valores para as entradas A, B e C que produza a saída Z igual a 0.