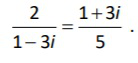
No conjunto dos números complexos, i, que representa a unidade imaginária, é tal que i 2 = -1. A respeito de números complexos, julgue o seguinte item.

No conjunto dos números complexos, i, que representa a unidade imaginária, é tal que i 2 = -1. A respeito de números complexos, julgue o seguinte item.
