Magna Concursos
1549279 Ano: 2005
Disciplina: Matemática
Banca: AOCP
Orgão: MGS
Provas:

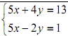
Dado o sistema Enunciado 1549279-1 e sabendo que o par ordenado (x,y) é a solução desse sistema, determine o valor da expressão x 2 - xy+ y 2

 

Provas

Questão presente nas seguintes provas

Vigilante

25 Questões