Magna Concursos
594016 Ano: 2016
Disciplina: Gerência de Projetos
Banca: ESAF
Orgão: ANAC

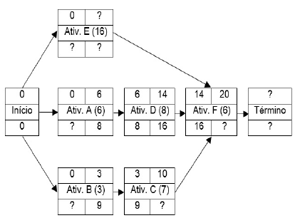
Considere a Figura XX para responder à questão.

enunciado 594016-1

Figura XX – Método do Caminho Crítico.

Considerando a Figura XX, o caminho crítico da fase do projeto apresentado é formado por:
 

Provas

Questão presente nas seguintes provas

Analista Administrativo - Área 4

130 Questões