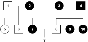
Na genealogia a seguir, os indivíduos destacados, 2, 3, 4, 7, 9 e 10, apresentam uma condição genética autossômica.

De acordo com essa genealogia, a probabilidade de o casal formado pelos indivíduos 7 e 8 gerar uma criança com o mesmo fenótipo apresentado pela pessoa 7 é