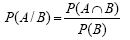
O Teorema de Bayes diz que, para dois eventos independentes, A e B, com probabilidades não nulas, tem-se que
![]()
onde, P(A/B) é a probabilidade de ocorrer o evento A, sabendo-se que o evento B já ocorreu. Desse modo pode-se afirmar que
O Teorema de Bayes diz que, para dois eventos independentes, A e B, com probabilidades não nulas, tem-se que
![]()
onde, P(A/B) é a probabilidade de ocorrer o evento A, sabendo-se que o evento B já ocorreu. Desse modo pode-se afirmar que