
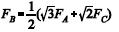
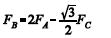
Três crianças (Alex, Bruna e Carlos) puxam um pneu, com forças de intensidades e direções diferentes, como mostra a figura acima. Assinale a opção que expressa corretamente o módulo da força que deve ser aplicada por Bruna (FB) para o que o pneu não se mova na sua direção.