Magna Concursos
3094902 Ano: 2023
Disciplina: Raciocínio Lógico
Banca: FUNDATEC
Orgão: IF-RS
Provas:
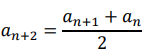
Considere a sequência (an) definida pela expressão abaixo:


Enunciado 3384813-1


Considere n ∈ N e que a1 = −8 e a2 = 16. Qual é o termo geral da sequência?
 

Provas

Questão presente nas seguintes provas

Professor - Matemática

40 Questões