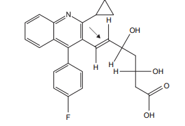
A Pitavastatina, cuja estrutura é representada abaixo, pertence à última geração das estatinas. É um antilipêmico utilizado na
redução do colesterol e triglicérides. No mercado é disponibilizada também na forma do seu sal de cálcio.

A configuração da ligação dupla indicada pela seta na estrutura e o tipo de isomeria envolvida neste caso correspondem a:

A configuração da ligação dupla indicada pela seta na estrutura e o tipo de isomeria envolvida neste caso correspondem a: