No diagrama unifilar a seguir, mostram-se as variáveis especificadas em cada barra do sistema.

Logo, o problema de fluxo de potência, pelo método de Newton, terá a matriz jacobiana quadrada de ordem igual a
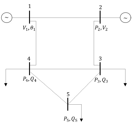
No diagrama unifilar a seguir, mostram-se as variáveis especificadas em cada barra do sistema.

Logo, o problema de fluxo de potência, pelo método de Newton, terá a matriz jacobiana quadrada de ordem igual a