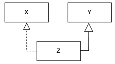
Considere o diagrama de classes UML apresentado a seguir e assinale a alternativa que apresenta a interpretação correta.
Z herda de X e implementa Y.
Z implementa X e herda de Y.
Y implementa Z, e X herda de Z.
X implementa Z, e Y herda de Z.
Z possui X e Y como atributos.
Olá, para continuar, precisamos criar uma conta! É rápido e grátis.