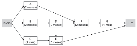
Seja o diagrama de redes de um projeto, no qual foi especificada a duração de cada tarefa.

Qual é a duração, em meses, do caminho crítico desse projeto?
Provas
Questão presente nas seguintes provas
Analista de Sistemas - Processos de Negócios
70 Questões