2175265
Ano: 2022
Disciplina: TI - Desenvolvimento de Sistemas
Banca: CESPE / CEBRASPE
Orgão: POLITEC-RO
Disciplina: TI - Desenvolvimento de Sistemas
Banca: CESPE / CEBRASPE
Orgão: POLITEC-RO
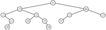
Assinale a opção em que é apresentada a sequência correta de números correspondente à varredura da árvore binária representada a seguir quando esta estiver sendo percorrida em profundidade por meio da utilização da técnica do tipo pré-ordem.

Provas
Questão presente nas seguintes provas
Perito Criminal - Tecnologia da Informação
100 Questões