Magna Concursos
931118 Ano: 2011
Disciplina: Matemática
Banca: CEPERJ
Orgão: SEDUC-RJ
Provas:
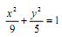
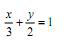
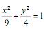
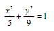
São dados os pontos F = (2,0) e F'= (-2,0) . O ponto P = (x, y) é tal que a soma de suas distâncias aos pontos F e F´ é igual a 6. A equação da curva descrita pelo ponto P é:
 

Provas

Questão presente nas seguintes provas