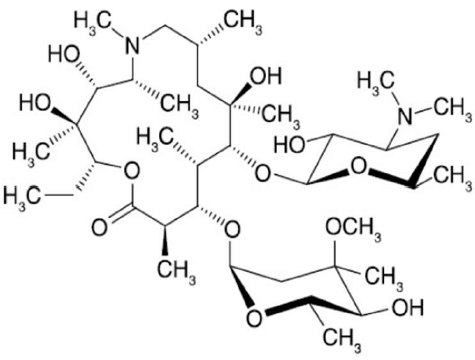
A azitromicina é um potente antibiótico comercial. Sua estrutura molecular está mostrada abaixo:

Considerando a estrutura acima, são feitas as seguintes afirmações:
I. Existem 2 átomos com hibridização sp2.
II. A molécula possui 18 carbonos quirais.
III. Éster, amina e éter são funções orgânicas encontradas na molécula.
Com base na análise das afirmações acima, assinale a opção correta: