
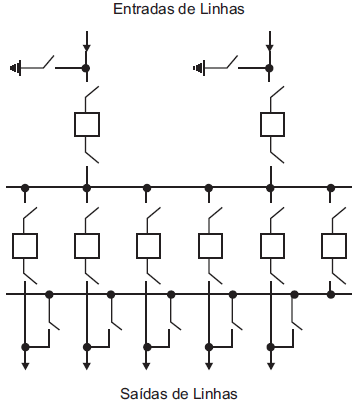
A representação mostrada acima corresponde a um tipo de barramento para subestação de energia. De acordo com a classificação de arranjos de barramentos para subestações e a sua manutenabilidade, este é um arranjo de barramento
Provas
Questão presente nas seguintes provas
Técnico de Manutenção - Eletricidade Sênior
50 Questões