Magna Concursos
1856724 Ano: 2014
Disciplina: Engenharia Civil
Banca: CESPE / CEBRASPE
Orgão: SUFRAMA
Provas:

Enunciado 1856724-1

Com base nessas informações, julgue os itens que se seguem.

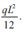
O módulo do momento fletor máximo para o carregamento uniformemente distribuído (q) sobre o vão (L) da viga biapoiada mostrada na figura pode ser determinado pela seguinte relação:Enunciado 1856724-2
 

Provas

Questão presente nas seguintes provas

Engenheiro Civil

120 Questões