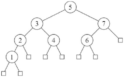
De acordo com a árvore de pesquisa abaixo, analise as seguintes afirmativas:

I. A árvore de pesquisa é binária.
II. Percorrer a árvore, usando caminhamento central recupera as chaves 1, 2, 3, 4, 5, 6, 7, nesta ordem respectiviamente.
III. A árvore de pesquisa está balanceada.
Marque a alternativa CORRETA:

I. A árvore de pesquisa é binária.
II. Percorrer a árvore, usando caminhamento central recupera as chaves 1, 2, 3, 4, 5, 6, 7, nesta ordem respectiviamente.
III. A árvore de pesquisa está balanceada.
Marque a alternativa CORRETA: