Magna Concursos
838251 Ano: 2017
Disciplina: Química
Banca: UERR
Orgão: CODESAIMA
Provas:
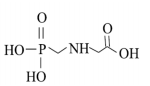
O herbicida glifosato é um organofosforado derivado do ácido fosfórico, que pode conter em sua estrutura átomos de carbono (C), hidrogênio (H), oxigênio (O), enxofre (S), nitrogênio (N) e fósforo (P). Abaixo é apresentada a fórmula estrutural do N- (fosfonometil)-glicina (Glifosato).
Enunciado 838251-1
Sobre esse composto, assinale a alternativa correta.
 

Provas

Questão presente nas seguintes provas

Químico

100 Questões