Magna Concursos
3619225 Ano: 2024
Disciplina: Matemática
Banca: CONTEMAX
Orgão: Pref. Cubati-PB

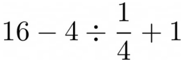
O valor resultante da seguinte expressão numérica é

Enunciado 4286887-1

 

Provas

Questão presente nas seguintes provas

Auxiliar de Serviços Gerais

40 Questões