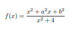
Sabendo que a e b são constantes não negativas, determine seus valores sabendo que a função f : R → {x ∈ R | x > 0} definida por é constante.

Provas
Questão presente nas seguintes provas
Sabendo que a e b são constantes não negativas, determine seus valores sabendo que a função f : R → {x ∈ R | x > 0} definida por é constante.
