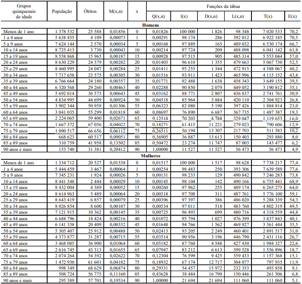
O conhecimento e a compreensão de dados relativos à mortalidade da população são de fundamental importância para a proposição de
políticas públicas de saúde. A tabela abaixo apresenta a Tábua Abreviada de Mortalidade da população paraibana para o ano de 2010.
Fonte: Adaptado de IBGE, Diretoria de Pesquisas, Coordenação de População e Indicadores Sociais. Nota: M(x,n) = Taxas centrais de mortalidade.
x = Idades exatas. Q(x,n) = Probabilidades de morte entre as idades exatas x e x+n. l(x) = Número de sobreviventes à idade exata x. D(x,n) = Número de óbitos ocorridos entre as idades x e x+n. L(x,n) = Número de pessoas-anos vividos entre as idades x e x+n. T(x) = Número de pessoas-anos vividos a partir da idade x. E(x) = Expectativa de vida à idade x.
Fonte: IBGE, Diretoria de Pesquisas, Coordenação de População e Indicadores Sociais. Disponível em: <https://www.ibge.gov.br/estatisticas/todos-os-produtos-estatisticas/2049-demografia-e-estatisticas-sociais/populacao/componentes-da-dinamica-demografica-e-estatisticas-vitais/np-tabuas-abreviadas-de-mortalidade/9125-tabuas-abreviadas-de-mortalidade.html?=&t=resultados>. Acessado em 02 de fevereiro de 2020.
A partir dos dados da tabela analise as afirmações para a Paraíba:
I- Há mais mulheres idosas do que homens idosos. II- A expectativa de vida dos homens é maior do que a das mulheres. III- A maior probabilidade de morte entre as mulheres é a partir dos noventa anos. IV- Homens têm menos chances de morrer aos cinco anos. V- A maioria da população se concentra na faixa de vinte a vinte e quatro anos. VI- A taxa de mortalidade a partir dos setenta anos é maior entre as mulheres.
É CORRETO o que se afirma em:
Fonte: Adaptado de IBGE, Diretoria de Pesquisas, Coordenação de População e Indicadores Sociais. Nota: M(x,n) = Taxas centrais de mortalidade.
x = Idades exatas. Q(x,n) = Probabilidades de morte entre as idades exatas x e x+n. l(x) = Número de sobreviventes à idade exata x. D(x,n) = Número de óbitos ocorridos entre as idades x e x+n. L(x,n) = Número de pessoas-anos vividos entre as idades x e x+n. T(x) = Número de pessoas-anos vividos a partir da idade x. E(x) = Expectativa de vida à idade x.
Fonte: IBGE, Diretoria de Pesquisas, Coordenação de População e Indicadores Sociais. Disponível em: <https://www.ibge.gov.br/estatisticas/todos-os-produtos-estatisticas/2049-demografia-e-estatisticas-sociais/populacao/componentes-da-dinamica-demografica-e-estatisticas-vitais/np-tabuas-abreviadas-de-mortalidade/9125-tabuas-abreviadas-de-mortalidade.html?=&t=resultados>. Acessado em 02 de fevereiro de 2020.
A partir dos dados da tabela analise as afirmações para a Paraíba:
I- Há mais mulheres idosas do que homens idosos. II- A expectativa de vida dos homens é maior do que a das mulheres. III- A maior probabilidade de morte entre as mulheres é a partir dos noventa anos. IV- Homens têm menos chances de morrer aos cinco anos. V- A maioria da população se concentra na faixa de vinte a vinte e quatro anos. VI- A taxa de mortalidade a partir dos setenta anos é maior entre as mulheres.
É CORRETO o que se afirma em: