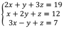
O valor de x no
sistema linear a
seguir é: 
Fonte: www.gigaconteudo.com
Provas
Questão presente nas seguintes provas
Bibliotecário
50 Questões
Médico Veterinário
50 Questões
O valor de x no
sistema linear a
seguir é: 
Fonte: www.gigaconteudo.com