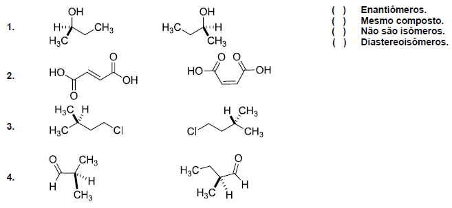
Isomeria é o nome dado à ocorrência de compostos que possuem a mesma fórmula molecular, mas que apresentam estruturas diferentes entre si. Os isômeros são classificados em constitucionais, que diferem na maneira como os átomos estão conectados (conectividade) em cada isômero, e estereoisômeros, que apresentam a mesma conectividade, mas diferem na maneira como seus átomos estão dispostos no espaço. Os estereoisômeros se dividem ainda em enantiômeros, que têm uma relação de imagem e objeto (que não são sobreponíveis), e diastereoisômeros, que não têm relação imagem e objeto.
Com relação à isomeria, numere a coluna da direita de acordo com sua correspondência com a coluna da esquerda.

Assinale a alternativa que apresenta a numeração correta da coluna da direita, de cima para baixo.