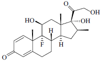
Observe a estrutura do corticoide betametasona.

betametasona
Com relação à estrutura representada, pode-se afirmar que
Provas
Questão presente nas seguintes provas
Observe a estrutura do corticoide betametasona.

betametasona
Com relação à estrutura representada, pode-se afirmar que