Magna Concursos
806618 Ano: 2013
Disciplina: Matemática
Banca: CEPERJ
Orgão: SEPLAG-RJ

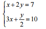
Observe o sistema de equações abaixo:

enunciado 806618-1

O produto entre x e y vale:

 

Provas

Questão presente nas seguintes provas