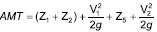
Considere o esquema de sistema de bombeamento da figura a seguir.
O diâmetro do sistema antes da bomba é D1 , com velocidade de escoamento V1 e, após a bomba, é D2 , com velocidade de escoamento V2 . A pressão do fluido no plano horizontal de referência, PHR, no interior do tubo é P1 e, na saída do sistema, é a pressão atmosférica local, Patm. Considere desprezível a variação da pressão atmosférica para a diferença de altitude comtemplada nesse esquema. O fluido é a água, a temperatura de todo o sistema é T e seu peso específico é γ. Os comprimentos de cada trecho são indicados por Zi , ou seja, o comprimento do trecho 1 é Z1 , do trecho 2 é Z2 , e assim sucessivamente. A altura manométrica total, AMT, aplicada ao sistema para o cálculo de bombeamento, desprezando-se as perdas de carga, é dada pela expressão:
O diâmetro do sistema antes da bomba é D1 , com velocidade de escoamento V1 e, após a bomba, é D2 , com velocidade de escoamento V2 . A pressão do fluido no plano horizontal de referência, PHR, no interior do tubo é P1 e, na saída do sistema, é a pressão atmosférica local, Patm. Considere desprezível a variação da pressão atmosférica para a diferença de altitude comtemplada nesse esquema. O fluido é a água, a temperatura de todo o sistema é T e seu peso específico é γ. Os comprimentos de cada trecho são indicados por Zi , ou seja, o comprimento do trecho 1 é Z1 , do trecho 2 é Z2 , e assim sucessivamente. A altura manométrica total, AMT, aplicada ao sistema para o cálculo de bombeamento, desprezando-se as perdas de carga, é dada pela expressão: