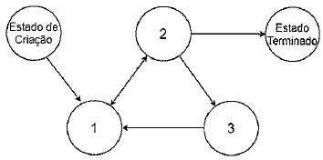
Segundo Machado & Maia (2017), no contexto de gerenciamento de processos, o estado de um processo pode mudar por demanda do próprio processo ou por uma interrupção do sistema operacional. Assinale a opção que completa corretamente as transições dos estados de processo na seguinte figura.

Provas
Questão presente nas seguintes provas