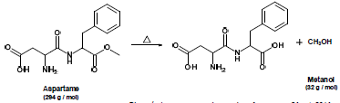
O aspartame é um dos aditivos alimentares mais utilizados para substituir o açúcar comum; contudo, quando aquecido, decompõe-se, levando a formação de metanol, como ilustrado pela reação abaixo.

Disponível em: <www.anvisa.gov.br>. Acesso em: 24 out. 2014.
Sabendo que uma lata de 350 mL de refrigerante apresenta a concentração de 0,5 mg/mL em aspartame, indique quantas latas de refrigerante, aproximadamente, deveriam ser usadas para se obter uma massa de metanol igual a 190 mg, após a decomposição do aspartame.