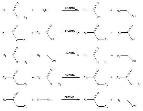
As enzimas são utilizadas na síntese orgânica, de forma isolada ou íntegra, através de células de animais, vegetais e micro-organismos. Devido ao alto custo para se obter enzimas, deve-se, em síntese orgânica, imobilizá-las em suportes físicos para possibilitar a sua recuperação ao final da reação. As reações orgânicas representadas a seguir são processos clássicos em síntese orgânica, como a hidrólise e a transesterificação. Elas podem ser químicocatalisadas ou enzimo-catalisadas. Todas as reações foram catalisadas pelo mesmo grupo de enzimas.

As enzimas que catalisam as reações orgânicas anteriores são as