Magna Concursos
3406795 Ano: 2016
Disciplina: Engenharia Mecatrônica
Banca: IF-RS
Orgão: IF-RS

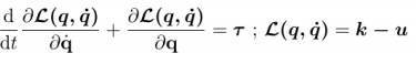
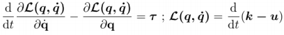
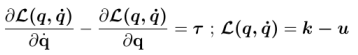
Marque a alternativa que expressa corretamente às equações de movimento no espaço das juntas segundo o formalismo de Euler-Lagrange, sendo q o vetor de variáveis independentes, k a energia cinética, u a energia potencial, L o Lagrangeano e τ o torque:

 

Provas

Questão presente nas seguintes provas