
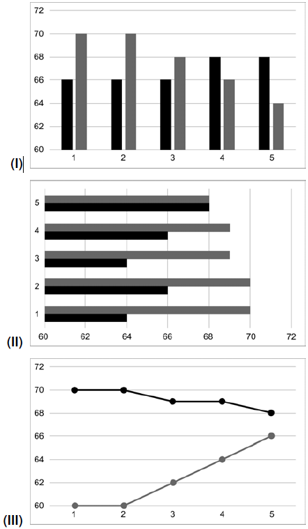
A partir dos dados da planilha alguns gráficos, cujas legendas foram removidas, podem ser gerados. Com base nessa informação, relacione os gráficos, na coluna da esquerda, com os intervalos de dados que geram esses gráficos, na coluna da direita.


(A) A3:F4
(B) A3:F3 e A7:F7
(C) A6:F6 e A8:F8
(D) A5:F5 e A7:F7
(E) A4:F5
Assinale a alternativa que contém a associação correta.