A cromatografia em papel é um método de separação que se baseia na migração diferencial dos componentes de uma mistura entre duas fases imiscíveis. Os componentes da amostra são separados entre a fase estacionária e a fase móvel em movimento no papel. A fase estacionária consiste de celulose praticamente pura, que pode absorver até 22% de água. É a água absorvida que funciona como fase estacionária líquida e que interage com a fase móvel, também líquida (partição líquido-líquido). Os componentes capazes de formar interações intermoleculares mais fortes com a fase estacionária migram mais lentamente.
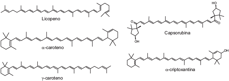
Uma mistura de hexano com 5% (v/v) de acetona foi utilizada como faze móvel na separação dos componentes de um extrato vegetal obtido a partir de pimentões. Considere que esse extrato contém as substâncias representadas.

RIBEIRO, N.M.; NUNES,C.R. Análise de pigmentos por cromatografia em papel. Química Nova na Escola, n. 29, ago. 2008 (adaptado).
A substância presente na mistura que migra mais lentamente é o(a)
Provas
Questão presente nas seguintes provas