Magna Concursos
450389 Ano: 2017
Disciplina: Química
Banca: UFJF
Orgão: UFJF
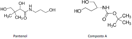
O pantenol nada mais é do que a pró-vitamina B5. A substância é considerada a precursora do ácido pantotênico, uma vitamina fundamental na manutenção da saúde e vitalidade da pele e dos cabelos. Por isso, ela vem sendo utilizada na composição das fórmulas de produtos dermo-cosméticos com resultados muito satisfatórios.
enunciado 450389-1 É CORRETO afirmar que o pantenol e o composto A possuem isomeria:
 

Provas

Questão presente nas seguintes provas

Técnico de Laboratório - Química

60 Questões