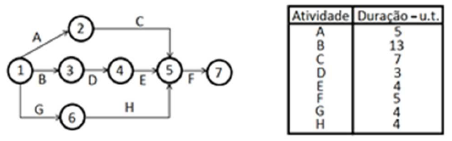
A figura a seguir apresenta um diagrama de rede PERT-CPM do planejamento de um projeto e sua respectiva tabela de tempos das atividades em unidades de tempo – ut.

O tempo de execução desse projeto é
A figura a seguir apresenta um diagrama de rede PERT-CPM do planejamento de um projeto e sua respectiva tabela de tempos das atividades em unidades de tempo – ut.

O tempo de execução desse projeto é