Um engenheiro foi requisitado para a construção de um filtro, utilizando apenas um circuito RL em série e uma fonte de tensão de entrada (vi ) senoidal de frequência variável, com o objetivo de que componentes de frequência acima de 50 rad/s na tensão de saída (v 0 ) fossem atenuadas. Para tanto, o engenheiro montou o circuito ilustrado na Figura 1, cujo respectivo diagrama de bode da função de transferência do circuito é apresentado na Figura 2. 
Considerando essa situação hipotética, julgue o item.
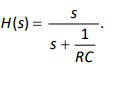
Se o indutor L fosse substituído por um capacitor C no circuito da Figura 1, o circuito passaria a se comportar como um filtro passa-altas, cuja resposta em frequência seria 