
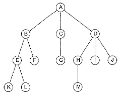
Assinale a opção correta em relação à estrutura de dados do tipo árvore apresentada na figura acima, onde os nós estão denominados por letras de À até M.
Provas
Questão presente nas seguintes provas

Assinale a opção correta em relação à estrutura de dados do tipo árvore apresentada na figura acima, onde os nós estão denominados por letras de À até M.