
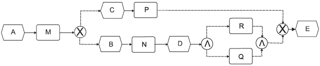
Analisando-se o esqueleto de modelo de processo descrito com a técnica EPC (ARIS) acima, verifica-se que, quanto ao relacionamento entre eventos e funções,
Provas
Questão presente nas seguintes provas
Analista de Sistemas - Processos de Negócios
70 Questões