
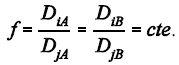
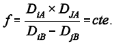
A análise da similaridade em máquinas hidráulicas é muito importante para estabelecer relações entre modelos e protótipos. As máquinas hidráulicas A e B, esquematizados nas figuras acima, serão geometricamente semelhantes se as dimensões correspondentes, D iA e D jA , D iB e D jB obedecerem a relação