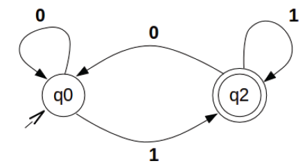
Leia os itens contendo as expressões regulares que poderão ser associadas ao autômato da figura, conforme aquilo que a bibliografia adotada descreve sobre autômatos finitos e expressões regulares.

I) A expressão regular 0*1(1+00*1)* representa o automato da figura.
II) A expressão regular 0*1*1+11*0*1 representa o automato da figura.
III) A expressão regular (0+1)*1 representa o automato da figura.
Assinale somente a alternativa que apresenta todas as afirmativas CORRETAS.