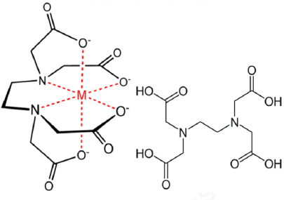
No contexto da química de coordenação, o termo complexo significa um átomo metálico ou íon central rodeado por um conjunto de ligantes. Um ligante é um íon ou molécula que pode ter existência independente. O esquema a seguir indica o ligante ácido etilenodiaminotetraacético, na forma do seu ânion:
[edta, (O2CCH2)2NCH2CH2N(CH2CO2-)2].

Em relação a esta estrutura, pode-se afirmar que