Sobre o composto (2S,4R)-2-bromo-4-metil-hexano, marque as afirmações a seguir como verdadeiras (V) ou falsas (F).
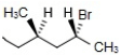
( ) A fórmula estrutural do composto é 
( ) É formado pela reação entre HBr e (R)-4-metil-1-hexeno.
( ) É um composto opticamente ativo.
( ) O composto 2-bromo-4-metil-hexano possui 1 centro quiral e, portanto, outro estereoisômero.
Assinale a alternativa que apresenta a sequência CORRETA de cima para baixo.